АСМД 1.5.1 Погодозависимая автоматика. Автоматизация котельной

Назначение системы автоматизации котельной :

Автоматизация котельной, погодозависимое регулирование теплоподачи, дистанционнный контроль промышленной безопасности предназначены для обеспечения бесперебойного теплоснабжения потребителей тепловой энергии и оптимизации, связанных с этим, затрат, устойчивого функционирования всего комплекса оборудования автоматизации котельных, предупреждения аварий, оперативного отслеживания технологических параметров и последующего анализа текущих, предаварийных и аварийных ситуаций, энергосбережения и сокращения эксплуатационных расходов. Погодозависимое регулирование по температурному графику и сокращение операторов обеспечат высокую рентабельность технического перевооружения и снижение эксплуатационных расходов в несколько раз.


Настройка работы котельной по температурному графику с АРМ администратора

ПОГОДОЗАВИСМАЯ АВТОМАТИКА в современных котлах управляет включением горелки. Без автоматичекого запуска горелки ПОГОДОЗАВИСМОЕ РЕГУЛИРОВАНИЕ осуществляется управлением теплоподачей с помощью трехходового клапана.


Опыт работ по автоматизации котельных:

Оказание услуг по диспетчеризации газовых котельных Енотаевского района Астраханской области и обслуживанию программно-аппаратного комплекса автоматизированной системы мониторинга


АВТОМАТИЗАЦИЯ КОТЕЛЬНОЙ. ПОГОДОЗАВИСИМАЯ АВТОМАТИКА. РАСЧЕТ ЭНЕРГОЭФФЕКТИВНОСТИ.

ЗАДАЧА:

Расчитать энергоэффективность автоматического погодозависимого регулирования теплоподачи и диспетчеризации котельной с двумя котлами RTQ 597 «Riello»

РЕШЕНИЕ:

Окупаемость автоматизации котельной составит 53 дня. Экономия газа при автоматическом регулировании составит 49,47%.


1. Исходные данные для расчета энергоэффективности автоматизации котельной

* СП 42-101-2003 "Общие положения по проектированию и строительству газораспределительных систем из металлических и полиэтиленовых труб" п.3.12;

*  Методические указания по определению расходов топлива, электроэнергии и воды на выработку теплоты отопительными котельными коммунальных теплоэнергетических предприятий. ГУП Академия коммунального хозяйства им. К.Д. Памфилова. М.: Сектор научно-технической информации АКХ им. К.Д. Памфилова, 2002г.


2.Выбор рециркуляционных насосов и трехходового клапана для автоматизации котельной 

Расчётный расход воды через котёл 

где Qном – номинальная теплопроизводительность котла (максимальная), Гкал/ч,

c – удельная теплоёмкость воды, Гкал/(м3× ºC),

tвых.max – максимальная температура воды на выходе котла, ºC,

tвх.max – максимальная температура воды на входе котла, ºC.

Расчётный расход воды через объединяющий ход трёхходового клапана

Gклапана= 2× Gкотла= 2×26 ≈ 52 м3/ч

Трехходовой клапан. Расчёт условной пропускной способности трёхходового клапана при условии “Kvs = 4Gкл.” (скорость воды в седле ниже 3 м/с):

Kvs = 4×Gкл.= 4×52 = 208.

Трехходовой клапан. Расчётный перепад давления. 

Для трёхпозиционного импульсного управления время полного хода сервопривода должно быть не менее 40 секунд.

Расчётный перепад давления на котле RTQ 597 (“Riello”) – ΔPкотла=0,095 кгс/см2 (из РЭ котла).

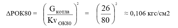
Расчётный перепад давления на обратном клапане DN80, стоящем на выходе котлового насоса:

где KvОК80 – пропускная способность обратного клапана DN80.

Сумма гидравлических местных сопротивлений в контуре котла:

ΔPконтура = ΔPклапана + ΔPкотла +ΔPОК80 = 0,12+ 0,095+ 0,106 ≈ 0,32 кгс/см2

Напор насоса в рабочей точке с учётом запаса 0,2 кгс/см2:

ΔPнасоса = ΔPконтура +0,2 = 0,32+0,2 ≈ 0,5 кгс/см2

Расход насоса в рабочей точке с учётом 10%-ного запаса:

Gнасоса = Gкотла×1,1 = 26×1,1 ≈ 29 м3/ч

Координаты рабочей точки котлового насоса для его выбора

 “расход – 29 м3/ч, напор – 5 м вод.ст.”.

Частота вращения электродвигателя 1500 об./мин или меньше.

Всем указанным требованиям соответствует, например, насос NR4 65/125S (“Calpeda”).

Дополнительное тепломеханическое оборудование для автоматизации котельной:

Котловой насос – 2 шт. (+1 запасной). Трехходовой клапан Kvs150 – 1 шт. Обратный клапан DN80 – 4 шт. Задвижка DN80 – 5 шт. Задвижка DN125 – 2 шт. Трёхходовой клапан управлялся поочерёдно программным обеспечением АСМД 1.5.1 поддерживающим температуру воды на общем входе котлов (у него приоритет) и поддерживающим температуру сетевой воды по температурному графику, с возможностью работы в ночном режиме. Трехходовой клапан управляется программным обеспечением по температурному графику, а очередность работы котлов  управляется програмным обеспечением согласно расчетной карты загрузки котлов.


3. Расчетная карта загрузки котлов


4. Сведения по выработке тепловой энергии за отопительный период (Октябрь 2021 – Апрель 2022)


5. Расчет стоимости выработки тепловой энергии

Расход газа двух котлов RTQ 597 “Riello” на отпуск одной единицы тепловой энергии 1 Гкал.:

где Qрн – низшая теплота сгорания газа, ккал/м3,

η – КПД котла, %,

% с.н. – нормативный расход тепла на собственные нужды, %.


Стоимость газа на производство одной единицы тепловой энергии 1 Гкал. в котельной с двумя котлами RTQ 597 “Riello”:

Bу* Стоимость газа за 1000 м3/1000 = 137*6142/1000 = 841,45 руб.


6. График выработки тепловой энергии при автоматизации котельной

7. Выводы

На графике показаны значения Q выработки при АВТОМАТИЧЕСКОМ управлении (нижний график) и Q выработки при РУЧНОМ управлении (прямой график). Суммарная разница между значениям графиков является значение экономии тепловой энергии. За отопительный период 2021-2022 года расчетная экономия составила 1356,55 Гкал.

Для производства еденицы тепловой энергии 1 Гкал. требуется израсходовать природного газа на сумму 841,45 руб. Экономия средств за счет автоматизации выработки тепловой энергии за отопительный период составит 1356,55*841,45=1141468,99 руб. 

Окупаемость технического перевооружения и автоматизации систем котельной составит 53 дня. Экономия газа при автоматическом регулировании составит 49,47%.


Мы обеспечим полный комплекс услуг для обеспечения минимальных временных затрат на внедрение системы автоматизации и погодозависимого регулирования котельной:

1.  Проектирование системы,

2.  Проведение экспертизизы промышленной безопасности проекта автоматизации на котельные, входящие в Реестр опасных производственных объектов;

3.  Монтаж системы автоматизации и погодозависимого регулирования котельных,

4.  Аварийно-техническое обслуживание  системы,

5. Диспетчеризацию котельной м систем безопасности круглосуточной дежурно-диспетчерской службой программным обеспечением АСМД 1.5.1 Автоматизированная система мониторинга и диспетчеризации.